ads/auto.txt

Ncert Science Book Class 8 Chapter 9 Exercise Answers

Ncert Solutions For Class 8 History Social Science Women Caste And Reform Social Science Women Science Class 8

Ncert Solutions For Class 8 History Social Science Women Caste And Reform Social Science Women Science Class 8

Pin On Fingerprint Science

Pin On Fingerprint Science

Ncert Solutions For Class 8 Science Stars And The Solar System Class 8 Solar System Solutions

Ncert Solutions For Class 8 Science Stars And The Solar System Class 8 Solar System Solutions

Class 9 Maths Maths Ncert Solutions Math Textbook Math

Class 9 Maths Maths Ncert Solutions Math Textbook Math

Science For Class 6 Science Math Formulas Solutions

Science For Class 6 Science Math Formulas Solutions

Ncert Solutions For Class 9 Science Force And Laws Of Motion Solutions Force Science

Ncert Solutions For Class 9 Science Force And Laws Of Motion Solutions Force Science

Ncert Solutions For Class 9 Science Force And Laws Of Motion Solutions Force Science

The ncert solutions to the questions after every unit of ncert textbooks aimed at helping students solving difficult questions.

Ncert science book class 8 chapter 9 exercise answers. Ncert solutions class 8 science chapter 9 reproduction in animals. Ncert class 8 science solutions help to clear our. Chapter 4 materials.

So download up board solutions for 9 science chapter 8 here in hindi medium. Reproduction in animals chapter 10. Along with this the characteristics of synthetic fibres are explained in detail.

For a better understanding of this chapter you. Students must solve the ncert questions regularly to score well in their class 8th examination. Find out what will happen when metals come in contact.

Reaching the age of adolescence chapter 11. Chemical effects of electric current chapter 15. Stars and the solar system chapter 18.

The ncert solutions for class 8 science chapter 4 will help you with questions asking you about the physical properties and uses of metals and non metals. Ncert science book class 8 acts as a stepping stone for further higher classes where u might feel that the topic is out of your league and hard to comprehend. The concepts of science syllabus form the backbone of higher classes.

To download ncert solutions for class 8 social science computer science home science hindi english maths science do check mycbseguide app or website. The national council of educational research and training ncert publishes science textbooks for class 8 the ncert class 8th science textbooks are well known for it s updated and thoroughly revised syllabus. Ncert books class 8 science.

Ncert Solutions For Class 8 Maths Chapter 12 Exponents And Powers Ex 12 2 Q 3 Class 8 Math Exponents

Ncert Solutions For Class 8 Maths Chapter 12 Exponents And Powers Ex 12 2 Q 3 Class 8 Math Exponents

Ncert Solutions For Class 8 Maths Algebraic Expressions And Identities Ex 9 5 Ncertsolutions Ncertclass8 In 2020 Algebraic Expressions Studying Math Math Vocabulary

Ncert Solutions For Class 8 Maths Algebraic Expressions And Identities Ex 9 5 Ncertsolutions Ncertclass8 In 2020 Algebraic Expressions Studying Math Math Vocabulary

Ncert Solutions For Class 8 Maths Algebraic Expressions And Identities Ex 9 5 Algebraic Expressions Class 8 Math

Ncert Solutions For Class 8 Maths Algebraic Expressions And Identities Ex 9 5 Algebraic Expressions Class 8 Math

Cbse Ncert Solutions For Class 8 Maths Chapter 8 Comparing Quantities In 2020 Studying Math Math Words Math

Cbse Ncert Solutions For Class 8 Maths Chapter 8 Comparing Quantities In 2020 Studying Math Math Words Math

Rational Numbers Rd Sharma Class 8 Solutions Exercise 1 3 Rational Numbers Class 8 Class

Rational Numbers Rd Sharma Class 8 Solutions Exercise 1 3 Rational Numbers Class 8 Class

Https Www Tiwariacademy Com Ncert Solutions Ncert Solutions Class 8 Maths Chapter 3 Class 8 Quadrilaterals Math

Https Www Tiwariacademy Com Ncert Solutions Ncert Solutions Class 8 Maths Chapter 3 Class 8 Quadrilaterals Math

Pin On Instagram

Pin On Instagram

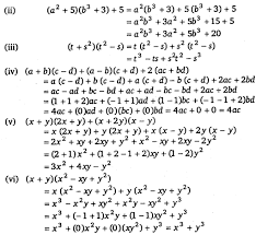
Ncert Solutions For Class 8 Maths Chapter 9 Algebraic Expressions And Identities Ex 9 4 Cbsetuts Com Ex9 4class8 Algebraic Expressions Class 8 Math

Ncert Solutions For Class 8 Maths Chapter 9 Algebraic Expressions And Identities Ex 9 4 Cbsetuts Com Ex9 4class8 Algebraic Expressions Class 8 Math

Get Here Ncert Solutions For Class 10 Science Chapter 9 Ncert Solutions Class 10 Science Includes Answers Of All T Evolution Science Science Questions Science

Get Here Ncert Solutions For Class 10 Science Chapter 9 Ncert Solutions Class 10 Science Includes Answers Of All T Evolution Science Science Questions Science

Ncert Solutions For Class 9 Science Improvement In Food Resources Food Resources Science Solutions

Ncert Solutions For Class 9 Science Improvement In Food Resources Food Resources Science Solutions

Algebraic Expressions And Identities Class 8 Extra Questions Maths Chapter 9 Learn Cbse Extraquestionsfo Algebraic Expressions Studying Math Math Questions

Algebraic Expressions And Identities Class 8 Extra Questions Maths Chapter 9 Learn Cbse Extraquestionsfo Algebraic Expressions Studying Math Math Questions

Ncert Solutions For Class 8 History Social Science Olonialism And The City Social Science Class 8 History Of Science

Ncert Solutions For Class 8 History Social Science Olonialism And The City Social Science Class 8 History Of Science

Cbse Ncert Solutions For Class 8 Maths Chapter 11 Mensuration Class 8 Math Solutions

Cbse Ncert Solutions For Class 8 Maths Chapter 11 Mensuration Class 8 Math Solutions

Ncert Solutions For Class 8 Maths Chapter 11 Mensuration Ex 11 2 Class 8 Math Solutions

Ncert Solutions For Class 8 Maths Chapter 11 Mensuration Ex 11 2 Class 8 Math Solutions

Source : pinterest.com