ads/auto.txt

Ncert Maths Book Class 9 Chapter 2 Exercise 2 4

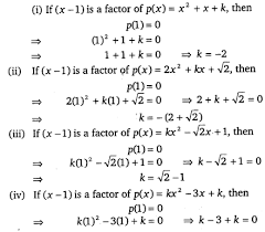
Ncert Solutions For Class 9 Maths Chapter 2 Polynomials Ex 2 4 In 2020 Polynomials Math Solutions

Ncert Solutions For Class 9 Maths Chapter 2 Polynomials Ex 2 4 In 2020 Polynomials Math Solutions

Ncert Solutions For Class 9 Maths Chapter 2 Polynomials Ex 2 4 Cbsetuts Com Https Www Cbsetuts Com Ncert Solutio Maths Ncert Solutions Math Maths Solutions

Ncert Solutions For Class 9 Maths Chapter 2 Polynomials Ex 2 4 Cbsetuts Com Https Www Cbsetuts Com Ncert Solutio Maths Ncert Solutions Math Maths Solutions

Ncert Solutions For Class 10 Maths Chapter 2 Polynomials Ex 2 4 Maths Ncert Solutions Math Polynomials

Ncert Solutions For Class 10 Maths Chapter 2 Polynomials Ex 2 4 Maths Ncert Solutions Math Polynomials

Ncert Solutions For Class 8 Maths Linear Equation In One Variable Ex 2 4 Linear Equations Class 8 Math

Ncert Solutions For Class 8 Maths Linear Equation In One Variable Ex 2 4 Linear Equations Class 8 Math

Class 9 Maths Studying Math Maths Ncert Solutions Math

Class 9 Maths Studying Math Maths Ncert Solutions Math

Ncert Solutions For Class 10 Maths Chapter 2 Polynomials Ex 2 4 Cbsetuts Com Class10mathschapter2exercise2 Maths Ncert Solutions Polynomials Math

Ncert Solutions For Class 10 Maths Chapter 2 Polynomials Ex 2 4 Cbsetuts Com Class10mathschapter2exercise2 Maths Ncert Solutions Polynomials Math

Ncert Solutions For Class 10 Maths Chapter 2 Polynomials Ex 2 4 Cbsetuts Com Class10mathschapter2exercise2 Maths Ncert Solutions Polynomials Math

Chapter wise ncert solutions for class 9 maths chapter 2 polynomials ex 2 4 solved by expert teachers as per ncert cbse book guidelines.

Ncert maths book class 9 chapter 2 exercise 2 4. Register and get all exercise solutions in your emails. Free pdf download of ncert solutions for class 9 maths chapter 2 exercise 2 4 ex 2 4 and all chapter exercises at one place prepared by expert teacher as per ncert cbse books guidelines. Ncert solutions for class 9 maths exercise 2 4 book solutions are available in pdf format for free download.

Ncert sols are in hindi medium and english medium free to pdf download exercise 2 4 for offline use or use it online. These ncert book chapter wise questions and answers are very helpful for cbse board exam. Class 9 maths chapter 2 polynomials exercise 2 4 questions with solutions to help you to revise complete syllabus and score more marks.

The students use it for reference while solving the exercise problems. Cbse recommends ncert books and most of the questions in cbse exam are asked from ncert text books. Download our class 9 maths chapter 2 polynomials ex 2 4 questions with solutions to help you to revise complete syllabus and score more marks in your exams.

These ncert maths solutions are prepared by our subject experts which makes it easy for students to learn.

Polynomials Ncert Extra Questions For Class 9 Maths Polynomials This Or That Questions Learning Letters

Polynomials Ncert Extra Questions For Class 9 Maths Polynomials This Or That Questions Learning Letters

Maharashtra Board Class 9 Maths Solutions Chapter 2 Real Numbers Practice Set 2 4 Algebraic Expressions Maths Solutions Real Numbers

Maharashtra Board Class 9 Maths Solutions Chapter 2 Real Numbers Practice Set 2 4 Algebraic Expressions Maths Solutions Real Numbers

Ncert Solutions For Class 10 Maths Chapter 2 Polynomials Ex 2 4 Https Www Learninsta Com Ncert Solutions For Class 10 In 2020 Maths Ncert Solutions Studying Math Math

Ncert Solutions For Class 10 Maths Chapter 2 Polynomials Ex 2 4 Https Www Learninsta Com Ncert Solutions For Class 10 In 2020 Maths Ncert Solutions Studying Math Math

Ncert Solutions For Class 8 Maths Linear Equation In One Variable Ex 2 4 Linear Equations Class 8 Math

Ncert Solutions For Class 8 Maths Linear Equation In One Variable Ex 2 4 Linear Equations Class 8 Math

Pin By Sabiha Khan On Aplus Topper Math Polynomials Solutions

Pin By Sabiha Khan On Aplus Topper Math Polynomials Solutions

Ncert Solutions For Class 10 Maths Chapter 2 Polynomials Ex 2 4 Https Www Learninsta Com Ncert Solutions For Class 10 Maths Chapter In 2020 Polynomials Math Solutions

Ncert Solutions For Class 10 Maths Chapter 2 Polynomials Ex 2 4 Https Www Learninsta Com Ncert Solutions For Class 10 Maths Chapter In 2020 Polynomials Math Solutions

Ncert Solutions For Class 8 Maths Chapter 2 Linear Equations In One Variable Ex 2 4 Cbsetuts Com Https Www Cbse Linear Equations Math Maths Ncert Solutions

Ncert Solutions For Class 8 Maths Chapter 2 Linear Equations In One Variable Ex 2 4 Cbsetuts Com Https Www Cbse Linear Equations Math Maths Ncert Solutions

Ncert Solutions For Class 7 Maths Fractions And Decimals Exercise 2 4 05 Ncertsolutions Cbseclass7maths Ncertc Math Fractions Math Maths Ncert Solutions

Ncert Solutions For Class 7 Maths Fractions And Decimals Exercise 2 4 05 Ncertsolutions Cbseclass7maths Ncertc Math Fractions Math Maths Ncert Solutions

For Class 7 Maths Chapter 2 Fractions And Decimal Numbers Ex 2 4 Fractions Decimals Math Decimals

For Class 7 Maths Chapter 2 Fractions And Decimal Numbers Ex 2 4 Fractions Decimals Math Decimals

Ncert Solutions For Class 10 Maths Chapter 2 Polynomials 36 Ncertsolutionsforclass10maths Ncertsolutionsforclass10math Math Maths Ncert Solutions Polynomials

Ncert Solutions For Class 10 Maths Chapter 2 Polynomials 36 Ncertsolutionsforclass10maths Ncertsolutionsforclass10math Math Maths Ncert Solutions Polynomials

Ncert Solutions For Class 8 Maths Linear Equation In One Variable Ex 2 3 Ncertsolutions Ncertsolutionsforclass8 Ncertcl In 2020 Linear Equations Studying Math Math

Ncert Solutions For Class 8 Maths Linear Equation In One Variable Ex 2 3 Ncertsolutions Ncertsolutionsforclass8 Ncertcl In 2020 Linear Equations Studying Math Math

Ncert Solutions For Class 9 Maths Chapter 1 Number Systems Ex 1 5 Ncertsolutionsforclass9maths Ncertsolutionsforclass9mathschap Math Number System Solutions

Ncert Solutions For Class 9 Maths Chapter 1 Number Systems Ex 1 5 Ncertsolutionsforclass9maths Ncertsolutionsforclass9mathschap Math Number System Solutions

Maths Ncert Solutions For Class 10 Chapter 2 Polynomials E2 1b Maths Ncert Solutions Math Polynomials

Maths Ncert Solutions For Class 10 Chapter 2 Polynomials E2 1b Maths Ncert Solutions Math Polynomials

Pin By Ncert Solutions On Cbse Tuts Linear Equations Class 8 Equations

Pin By Ncert Solutions On Cbse Tuts Linear Equations Class 8 Equations

Source : pinterest.com